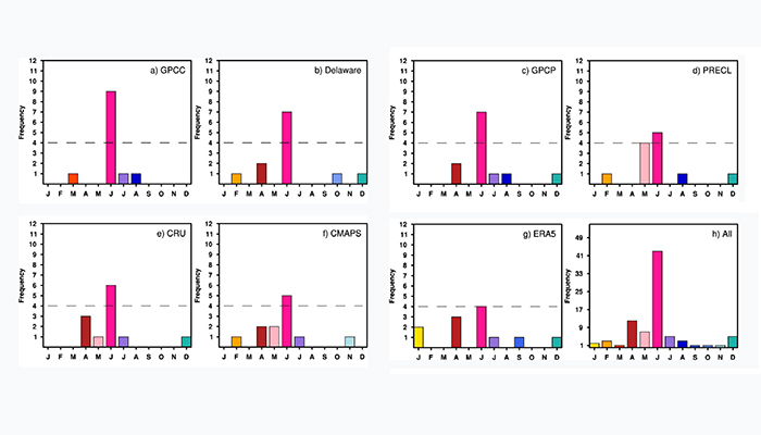
科研进展New Achievements

热带陆面降水的六月持续性障碍
2025-10-30(10)次
近日,物理海洋教育部重点实验室在Climate Dynamics期刊发表题为“June Persistence Barrier of Tropical Land Precipitation”(《热带陆面降水的六月持续性障碍》)的最新研究成果,该研究首次发现热带陆面降水(TLP)在6月存在显著的持续性障碍现象,并揭示大尺度Walker环流异常是联结ENSO与TLP的关键桥梁。成果由实...

西北大西洋海温梯度主导模态的长期变率
2025-10-27(20)次
近日,物理海洋教育部重点实验室在Climate Dynamics上,发表题为“The long-term variability of dominant mode of sea temperature gradient in the Northwest Atlantic”(《西北大西洋海温梯度主导模态的长期变率》)的最新研究成果。该工作利用观测和模式数据,首次从多关键层(水深50/200/500 m)视角出发,识别出...

非定常水平行星波的理论及气候学特征
2025-10-21(16)次
近日,物理海洋教育部重点实验室在Climate Dynamics(《气候动力学》)上,发表题为“The Theory and Climatological Characteristics of Nonstationary Horizontally Planetary Waves”(《非定常水平行星波的理论及气候学特征》)的最新研究成果。本研究从理论上推导了非定常波存在三个可传播解的相速和周期的上确界...

利用冬季半球间海温偶极子预测萨赫勒夏季降水
2025-09-28(40)次
近日,物理海洋教育部重点实验室在Environmental Research Letters期刊发表题为 “Winter sea surface temperature interhemispheric dipole as a predictor for Sahel summer rainfall”(《冬季半球间海温偶极子作为萨赫勒夏季降水的预测因子》)的最新研究成果。通过观测诊断和动力学机制分析,研究发现冬季半球间海表温...

北大西洋海温三极子对北半球冬季环半球遥相关的影响
2025-08-21(173)次
近日,物理海洋教育部重点实验室在Climate Dynamics(《气候动力学》)上,发表题为“Influence of the North Atlantic Tripole on the Circum-Hemisphere Teleconnection in Boreal Winter”(《北大西洋海温三极子对北半球冬季环半球遥相关的影响》)的最新研究成果,首次阐明北大西洋海温三极子(NAT)如何激发环半球遥...