非定常水平行星波的理论及气候学特征
近日,物理海洋教育部重点实验室在Climate Dynamics(《气候动力学》)上,发表题为“The Theory and Climatological Characteristics of Nonstationary Horizontally Planetary Waves”(《非定常水平行星波的理论及气候学特征》)的最新研究成果。本研究从理论上推导了非定常波存在三个可传播解的相速和周期的上确界和下确界,并结合相关再分析数据的诊断分析,理论结果对应了前人观测中对流层下层的东传MJO、中纬度ISO和季风ISO等,在一定程度上解释了全球大气的低频特征。该成果由实验室/未来海洋学院/海洋与大气学院在读博士生刘一凡为第一作者,“筑峰人才工程”第一层次李建平教授为通讯作者合作完成。
行星波(Rossby波)是动力气象学乃至地球流体动力学的重要基石,行星波传播是大气科学领域的前沿课题,其传播特征决定了能量和动量在大气中的传输路径,对于理解天气和气候演变过程具有根本意义。前人有关行星波传播的工作多是基于准定常的假设,由于其周期趋于无穷,行星波仅被视作缓慢演化的背景扰动,难以合理解释观测中广泛存在的大气低频振荡,如ISO(季节内振荡)、MJO(Madden-Julian振荡)和QBWO(准双周振荡)等。其中,ISO作为大尺度低频运动,和行星波具有相似的时空尺度,通过行星波的活动来解释ISO的传播具有重要科学价值,因此有必要发展非定常水平行星波理论以解释这些低频振荡。
前人研究指出,引入经向流后,大气行星波必存在三支解。这三支解分为两种情况:(1) 三支解均为中性解(即可传播解);(2) 三支解分别为一支可传播解、一支衰减解和一支增长解。本项研究从理论上系统推导了在一定背景风场下,非定常行星波存在三支可传播解必要条件。必要条件可以由两种等价的方式表述,即相速度的上确界、下确界和周期的上确界、下确界,这两种等价的条件均由背景速度场决定,其中周期的上确界、下确界还与纬向波数有关。存在三支可传播解的相速度范围可分为快传波(大于相速度下确界)和慢传波(小于相速度上确界)两种情形。而存在三支可传播解的周期范围(示意图如图1所示)可分为两种情况:(1) 区间A和区间B的并集;(2) 单个区间A。此外,纬向流和经向流对波动解的贡献不同,纬向流决定了波动的整体性质,经向流决定了波动传播中的快传波和慢传波的差异。

图1: 三个传播波解存在的周期范围的示意图。(a) 区间A和B的并集; (b)单个区间A。其中Asup为A区间的上确界,Binf为B区间的下确界。
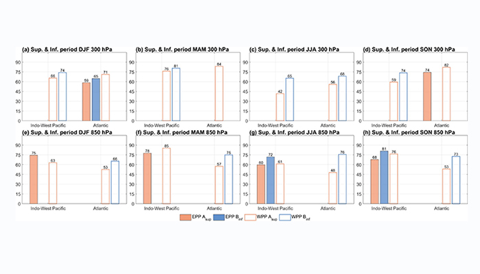
结合相关再分析数据,本文给出了两个典型区域对流层上下两层非定常波的上确界和下确界。结果表明,由于对流层上下两层风场配置不同,存在三支可传播解的非定常波的理论周期表现出很大季节和区域差异(图2)。在对流层上层,赤道地区以偏东信风为主,对应的赤道印度-西太平洋地区没有东传波;相反,在对流层下层,印度季风使东传波的存在成为可能,且周期范围为季节内尺度,这对应了前人提出的季风ISO。在冬春季的对流层下层,赤道印度-西太平洋地区的三支可传播的非定常波理论周期表现为类MJO特征。而在赤道大西洋上空,由于西风通道只存在于对流层中上层,这导致西传波只存在于对流层下层,和前人观测的对流层上层东传和下层西传的ISO对应。

图2:赤道(5 ^∘ S- 5 ^∘ N )印度洋-西太平洋(〖60 〗^∘ –〖150 〗^∘ E )和大西洋(〖60 〗^∘ W –0 ^∘ )区域非定常波周期的Asup和Binf (单位:天)。(a) 北半球冬季300 hPa;(b)–(d) 同(a),但分别为北半球春季、夏季和秋季。(e)–(h) 同 (a)–(d),但为850 hPa。红色代表Asup,蓝色代表Binf。实心柱为东传波,空心柱为西传波。如果特定传播方向的两个柱均不存在,则表明此时不存在这种传播方向的波。
该工作不仅在理论上拓展了行星波传播的经典框架,而且结合再分析资料从气候学上揭示了非定常行星波与大气低频振荡之间的紧密联系,为后者研究提供了新的视角,并为延伸期预报提供了理论基础。研究工作得到国家自然科学基金重点项目、崂山实验室科技创新项目、山东省自然科学基金重大基础研究项目、中央高校基本科研业务费专项资金等联合资助。
文章引用:
LIU Y. -F., and J. P. -Li*, 2025: The Theory and Climatological Characteristics of Nonstationary Horizontally Planetary Waves. Climate Dynamics, 63: 402, https://doi.org/10.1007/s00382-025-07860-z.